Admission |  Quick Links |  Info Desk |  Site Map |  Careers |  FAQs |  Search |  Contact Us |  Donate | 

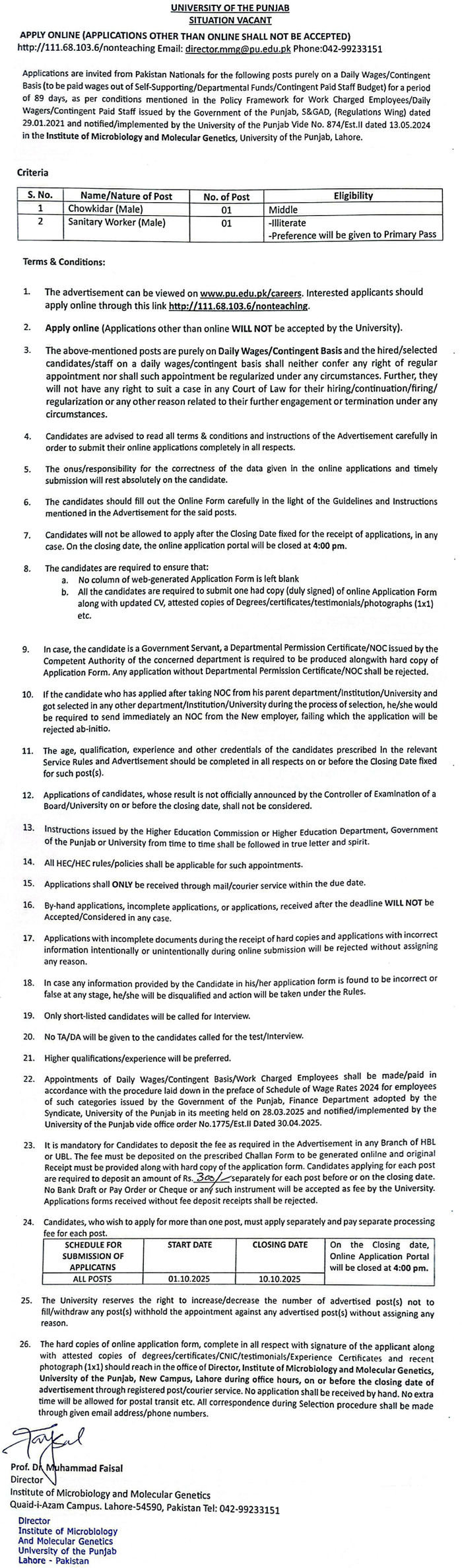
SITUATION VACANT - Chowkidar and Sanitary Worker (posts purely on a Daily Wages / Contingent Basis) (Apply Online)

Careers

SITUATION VACANT - Chowkidar and Sanitary Worker (posts purely on a Daily Wages / Contingent Basis) (Apply Online)

Job Type: SITUATION VACANT - Chowkidar and Sanitary Worker (posts purely on a Daily Wages / Contingent Basis) (Apply Online)
No. of Posts
Department: Institute of Microbiology and Molecular Genetics

APPLY ONLINE (APPLICATIONS OTHER THAN ONLINE SHALL NOT BE ACCEPTED)
Click here to Apply Online http://111.68.103.6/nonteaching
Email: director.mmg@pu.edu.pk Phone: 042-99233151
 

Requirement

Criteria

Closing Date
10-10-2025

Contact



 Back to Careers